Math 21B
HOMEWORK
AND EXAM
SOLUTIONS
Last Update: February 18, 2001
Site designed and maintained by D. A. Kouba
kouba@math.ucdavis.edu
PLEASE E-MAIL ME IF YOU FIND ANY ERRORS OR OMISSIONS IN THESE HOMEWORK AND EXAM SOLUTIONS. THANK YOU.
- HW #1 ..... Sections 5.1, 5.2 .....
Page 1 ,
Page 2 ,
Page 3 ,
Page 4
- HW #2 ..... Section 5.3 .....
Page 1 ,
Page 2 ,
Page 3 ,
Page 4 ,
Page 5
- HW #3 ..... Section 5.5 .....
Page 1 ,
Page 2 ,
Page 3
- HW #4 ..... Section 5.7 .....
Page 1 ,
Page 2 ,
Page 3
- HW #5 ..... Section 7.1.....
Page 1 ,
Page 2 ,
Page 3
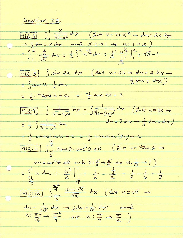
- HW #6 ..... Section 7.2 .....
Page 1 ,
Page 2 ,
Page 3 ,
Page 4
- HW #7 ..... Sections 7.3 .....
Page 1 ,
Page 2 ,
Page 3 ,
Page 4
- HW #8 ..... Section 7.4 .....
Page 1 ,
Page 2 ,
Page 3
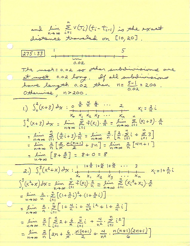
- HW #9 ..... Section 7.5 .....
Page 1 ,
Page 2 ,
Page 3
- HW #10 ..... Sections 7.6 .....
Page 1 ,
Page 2 ,
Page 3 ,
Page 4 ,
Page 5
- HW #11 ..... Section 7.6.....
Page 1 ,
Page 2 ,
Page 3 ,
Page 4
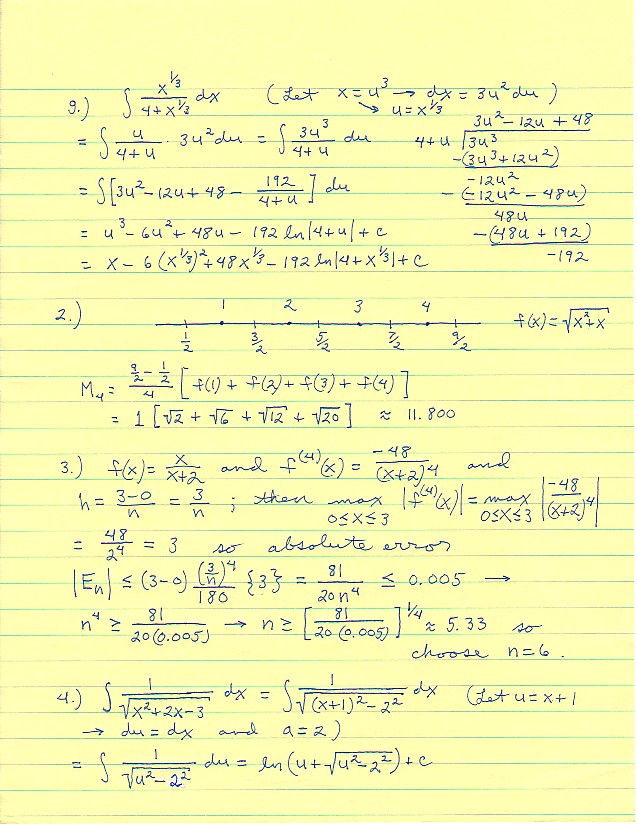
- HW #12 ..... Sections 7.1, 7.3, 7.7 .....
Page 1 ,
Page 2 ,
Page 3 ,
Page 4 ,
Page 5 ,
Page 6 ,
Page 7
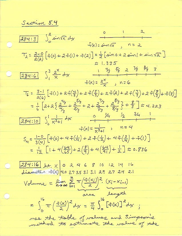
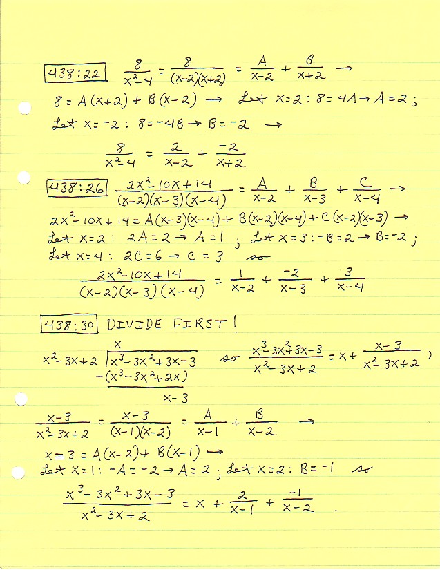
- HW #13 ..... Section 5.4 .....
Page 1 ,
Page 2 ,
Page 3 ,
Page 4
- HW #14 ..... Section 6.7 .....
Page 1 ,
Page 2 ,
Page 3 ,
Page 4 ,
Page 5 ,
Page 6
- HW #15 ..... Section 8.3 .....
Page 1 ,
Page 2 ,
Page 3 ,
Page 4 ,
Page 5 ,
Page 6
- HW #16 ..... Sections 8.1, 8.2 .....
Page 1 ,
Page 2 ,
Page 3 ,
Page 4 ,
Page 5 ,
Page 6
- HW #17 ..... Section 8.4 .....
Page 1 ,
Page 2 ,
Page 3 ,
Page 4 ,
Page 5
- HW #18 ..... Section 8.4.....
Page 1 ,
Page 2 ,
Page 3 ,
Page 4 ,
Page 5
- HW #19 ..... Sections 8.5 .....
Page 1 ,
Page 2 ,
Page 3
- HW #20 ..... Section 8.6 .....
Page 1 ,
Page 2 ,
Page 3 ,
Page 4 ,
Page 5
- HW #21 ..... Sections 8.8 .....
Page 1 ,
Page 2 ,
Page 3
- HW #22 ..... Section 9.1 .....
Page 1 ,
Page 2 ,
Page 3 ,
Page 4 ,
Page 5 ,
Page 6 ,
Page 7
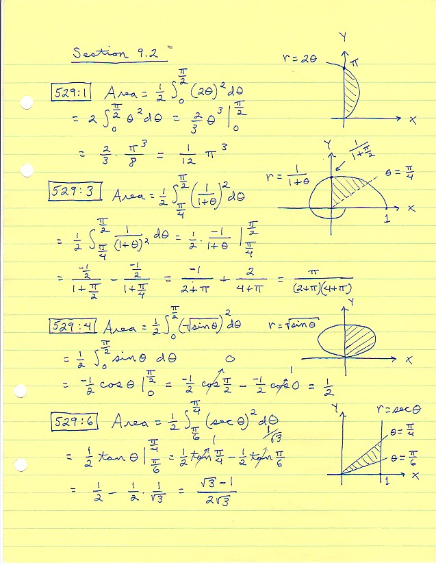
- HW #23 ..... Section 9.2 .....
Page 1 ,
Page 2 ,
Page 3 ,
Page 4 ,
Page 5
- HW #24 ..... Section 9.3 .....
Page 1 ,
Page 2 ,
Page 3 ,
Page 4 ,
Page 5 ,
Page 6 ,
Page 7 ,
Page 8
- HW #25 ..... Section 9.4 .....
Page 1 ,
Page 2 ,
Page 3 ,
Page 4 ,
Page 5 ,
Page 6 ,
Page 7 ,
Page 8