🧲

An Exact, Over-Compressive Shock Solution for the Brio-Hunter Equations - August 2024.

This blog post summarizes some work that I did for a project that will not get published but still thought was neat. To my knowledge this is the only known exact and non-trivial over-compressive shock. Enjoy!

Introduction

We study the shock-formation problem for the Brio-Hunter-Freistuhler (BHF) equation

tu+x(u2u)=0,u(x,0)=u0(x),(1.1)\begin{align*}\partial_t \bm{u}+\partial_x(|\bm{u}|^2\bm{u})&=0, \\ \bm{u}(x, 0) &= \bm{u}_0(x),\end{align*}\tag{1.1}

for u:RR2\bm{u}:\bm{R}\rightarrow \bm{R}^2 with the given Cauchy data u0\bm{u}_0.

Let u=(u,v)\bm{u}=(u, v) be the solution to (1.1)(1.1) with with associated fast and slow characteristics η\eta and ψ\psi. Let the solution develop a gradient blowup, i.e. pre-shock at the space-time location (x,T)(x_*, T_*).

  • We say that the pre-shock is Lax-type if ηx(x,T)=0\eta_x(x_*, T_*)=0 and 0<ψx(x,T)10 < \psi_x(x_*, T_*)\leqslant 1.
  • We say that the pre-shock is over-compressive if ηx(x,T)=ψx(x,T)=0\eta_x(x_*, T_*)=\psi_x(x_*, T_*)=0.
  • We say that the pre-shock is under-compressive if ηx(x,T)=0\eta_x(x_*, T_*)=0 and ψx(x,T)>1\psi_x(x_*, T_*)> 1.

By writing u=(u,v)\bm{u}=(u, v), we can re-write the BHF equation (1.1)(1.1) as

tu+(3u2+v2)yu+2uvxv=0,tv+(3v2+u2)yv+2uvxu=0.(1.2)\begin{align*}\partial_t u + (3u^2 + v^2)\partial_y u + 2uv\partial_x v &= 0, \\ \partial_t v + (3v^2 + u^2)\partial_y v + 2uv\partial_x u &= 0.\end{align*}\tag{1.2}

Computing the eigenvalues of this system yields the wave-speeds

λ1=u2+v2,λ2=3(u2+v2)=3λ1.\lambda_1 = u^2 + v^2, \qquad \lambda_2 = 3(u^2 + v^2) = 3\lambda_1.

The non-strict hyperbolicity is immediately apparent as these wave-speeds coincide at points where uu and vv vanish. An attempt to study this equation along Riemann invariants will fail, since the Riemann invariants are given by

a=u2+v2,b=0,(1.3)a = u^2 + v^2, \qquad b = 0,\tag{1.3}

one of which is trivial.

The non-trivial Riemann invariant is still useful for the analysis, and we can replace the equation for uu by the equation for aa to decouple the aa dynamics from the vv dynamics. This leads to the equivalent system

ta+3aya=0,tv+ayv+vya=0.\begin{align*} \partial_t a + 3a \partial_y a &= 0, \tag{1.4a} \\ \partial_t v + a\partial_y v + v\partial_y a &= 0. \tag{1.4b}\end{align*}

In this new system λ1=a\lambda_1 = a, λ2=3a\lambda_2 = 3a. The equation (1.4a)(1.4a) is a time-rescaled Burgers equation which does not depend on vv, and the equation (1.4b)(1.4b) is a passive transport equation with drift aa.

Observe that a=0a=0 is a stationary point of Burgers equation (1.4a)(1.4a). Thus we can recover u(x,t)u(x, t) by the formula

u(x,t)=sign(u0(x))a(x,t)v2(x,t).u(x, t) = \text{sign}(u_0(x))\sqrt{a(x, t) - v^2(x, t)}.

We choose to study the system (1.4)(1.4) in Lagrangian coordinates. Let η\eta and ψ\psi be the fast and slow characteristics respectively, satisfying the ODEs

tη(x,t)=λ2(x,t)=3a(η(x,t),t),tψ(x,t)=λ1(x,t)=a(ψ(x,t),t).\begin{align*} \partial_t \eta(x, t) &= \lambda_2(x, t) = 3a(\eta(x, t), t), \tag{1.5a} \\ \partial_t \psi(x, t) &= \lambda_1(x, t) = a(\psi(x, t), t). \tag{1.5b}\end{align*}

Define A=a(η(x,t),t)A = a(\eta(x, t), t) and V=v(ψ(x,t),t)V = v(\psi(x, t), t). Differentiating these quantities in time gives the evolution equations along the fast and slow characteristics

tA=0,tV+V(ya)(ψ(x,t),t)=0.\begin{align*} \partial_t A &= 0, \tag{1.6a} \\ \partial_t V + V(\partial_y a)(\psi(x, t), t) &= 0. \tag{1.6b}\end{align*}

Since AA remains constant we can re-write (1.5a)(1.5a) as tη=3a0(x)\partial_t \eta = 3a_0(x) and immediately obtain the exact solution

η(x,t)=x+3a0(x)t.(1.7)\eta(x, t) = x + 3a_0(x)t. \tag{1.7}

We now turn to the slow characteristics ψ\psi. Solving (1.5b)(1.5b) gives the exact solution

ψ(x,t)=x+0ta(ψ(x,t),t)dt.(1.8)\psi(x, t) = x + \int_{0}^t\,a(\psi(x, t'), t')\,dt'.\tag{1.8}

If aa is piecewise C1C^1, then

ψx(x,t)=1+0t(ay)(ψ(x,t),t)ψx(x,t)dt,\psi_x(x, t) = 1 + \int_{0}^t\,(a_y)(\psi(x, t'), t')\psi_x(x, t')\,dt',

which is an integral equation for ψx\psi_x with solution

ψx(x,t)=exp(0t(ay)(ψ(x,t),t)dt).(1.9)\psi_x(x, t) = \exp\left(\int_{0}^t\,(a_y)(\psi(x, t'), t')\,dt'\right).\tag{1.9}

Finally, observe that along the slow characteristics ψ\psi, the solution to the ODE (1.6b)(1.6b) is given by

V(x,t)=v0(x)exp(0t(ay)(ψ(x,t),t)dt)=v0(x)ψx1(x,t).\begin{align*}V(x, t) &= v_0(x)\exp\left(\int_{0}^t\,(a_y)(\psi(x, t'), t')\,dt'\right) \\ &= v_0(x)\psi_x^{-1}(x, t).\end{align*}

An Exact, Over-Compressive Solution to (1.4)(1.4)

We choose initial data so that the following conditions are satisfied

a0(0)=0,limx0a0(x)=infx<0a0(x)>,a0(x)>0for allx<0.(2.1) a_0(0)=0, \qquad \lim_{x\rightarrow 0^{-}}a_0'(x) = \inf_{x < 0} a_0'(x) > -\infty, \qquad a_0'(x) > 0 \, \text{for all}\, x < 0. \tag{2.1}

These conditions ensure that there is a unique blowup label occurring at the origin, and at this blowup label the system must undergo non-strictly hyperbolic dynamics.

These conditions can only be satisfied if a0(x)=O(x)a_0(x) = \mathcal{O}(|x|) near x=0x=0. Let γ>0\gamma > 0. Observe that if this condition were not true, then either one of the two things must be true, either a0(x)=O(x1γ)a_0(x) = \mathcal{O}(|x|^{1-\gamma}) or a0(x)=O(x1+γ)a_0(x)=\mathcal{O}(|x|^{1+\gamma}). In the first case we must have γ1\gamma \leqslant 1, and a0(x)=O(xγsign(x))a_0'(x) = \mathcal{O}(|x|^{-\gamma}\text{sign}(x)). Now we have limx0a0(0)=\lim_{x\rightarrow 0^{-}}a_0'(0) = -\infty and the solution will instantaneously form a shock (i.e. we will be doing shock development instead of shock formation). In the second case a0(x)=O(xγ)a_0'(x) = \mathcal{O}(|x|^\gamma) and it is clear that limx0a0(0)\lim_{x\rightarrow 0^{-}}a_0'(0) is not the global infimum.

Since a0(x)=O(x)a_0(x) = \mathcal{O}(|x|), it follows that u0,v0=O(x1/2)u_0, v_0 = \mathcal{O}(|x|^{1/2}) near the origin, so that for the purposes of over-compressive shock formation the initial data must lie in C1/2(R)C^{1/2}(\bm{R}).

We solve~\eqref{eq:decoupled} exactly to build intuition about the mechanisms leading to over-compressive shock formation for this system. We choose any initial data u0,v0u_0, v_0 such that a0:=u02+v02a_0:=u_0^2 + v_0^2 satisfies

a0={1,x1,x,1<x<0,0,0x.\begin{align*}a_0 = \begin{cases}1, \qquad &x\leqslant -1, \\-x, \qquad &-1< x < 0, \\0, \qquad &0 \leqslant x\end{cases}.\tag{2.2}\end{align*}

It is easy to check that the unique solution to Burgers equation~\eqref{eq:bh_burgers} is then given by

a(x,t)={1,x3(13t),x3(13t),3(13t)<x<0,0,0x.\begin{align*} a(x, t) = \begin{cases} 1, \qquad &x \leqslant -3\left(\frac{1}{3}-t\right), \\ -\frac{x}{3(\frac{1}{3}-t)}, \qquad &-3\left(\frac{1}{3}-t\right) < x < 0, \\ 0, \qquad &0 \leqslant x \end{cases}.\tag{2.3}\end{align*}

The fast-characteristics can easily be computed and are given by

  η(x,t)={    x+3t,x1,    x(13t),1<x<0,    x,0x  .\begin{align*}    \eta(x, t) = \begin{cases}        x + 3t, \qquad &x \leqslant -1, \\        x(1-3t), \qquad &-1 < x < 0, \\        x, \qquad &0 \leqslant x    \end{cases}.\end{align*}

With these computations in hand we can now exactly solve the ODE (1.5b) governing ψ\psi and thus completely determining VV.

🖼️

Figure 1: The characteristics ψ\psi for the exact solution (2.3)(2.3). The blue line is x=(Tt)x=-(T-t), the red line is x=3(Tt)x=-3(T-t), and the black line is x=0x=0. Note that trajectories from the left of the blue line can never cross over this line, while trajectories starting below the red line always enter the region between the red and blue lines and then cannot leave. The black line is the shock, and to the right of the shock the fluid is always quiescent. Trajectories arc until they hit the red line whereafter they propagate linearly. The dotted blue, green, and black lines are the trajectories ψ\psi corresponding to, respectively, x0<1x_0 < -1, 1<x0<0-1 < x_0 < 0, 0<x00 < x_0. The compression of ψ\psi is visible in that the dotted green trajectories get increasingly close as we move towards t=13t=\frac{1}{3} from above along the shock.}

For any x<1x < -1, it should be obvious that from (2.3)(2.3), ψ(x,t)=x+t\psi(x, t) = x+t. Similarly for any x>0x > 0 we have that ψ(x,t)=x\psi(x, t)= x. The only difficulty is for when 1<x<0-1 < x < 0. The solution we will construct can be understood more easily by studying Figure 1. For 1<x<0-1 < x < 0, trajectories start off evolving according to

tψ=ψ3(13t),\partial_t \psi = -\frac{\psi}{3(\frac{1}{3}-t)},

but collide with the line x=3(13t)x=-3(\frac{1}{3}-t) at the finite time

 t(x):=1313x3/2 t^\flat(x) := \frac{1}{3} - \frac{1}{3}|x|^{3/2}

and location

x(x):=x3/2x^\flat(x) := -|x|^{3/2}

at which point they satisfy the ODE tψ=1\partial_t \psi = 1 until they hit the shock at x=0x=0. Thus we arrive at the solution

ψ(x,t)={  x+t,x1,  x(13t13)13,1x<0 and t<t(x),  tt(x)+x(x), 1x<0 and tt(x),  x,0x   \psi(x, t) = \begin{cases}    x + t, \qquad &x \leqslant -1, \\    x\left(\frac{\frac{1}{3}-t}{\frac{1}{3}}\right)^{\frac{1}{3}}, \qquad &-1\leqslant x < 0 \, \text{ and } \, t < t^\flat(x), \\    t-t^\flat(x)+x^\flat(x),  \qquad &-1\leqslant x < 0 \, \text{ and } \, t \geqslant t^\flat(x), \\    x, \qquad &0 \leqslant x     \end{cases}
🖼️

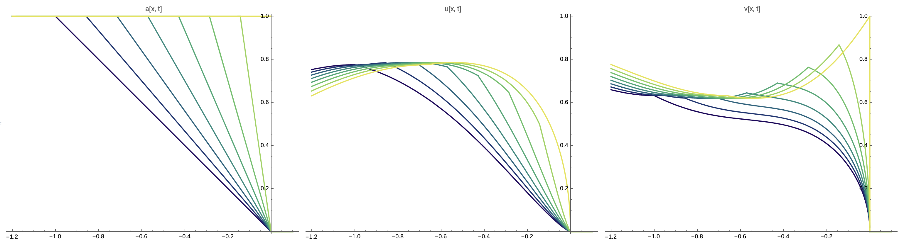
Figure 2: The exact solution of the Brio-Hunter-Freistuhler equation (1.2)(1.2) with initial data $$a_0$$ given by (2.2)(2.2), v0(x)=a01/2(x)x2ex2H(x)v_0(x)=a_0^{1/2}(x)-x^2e^{-x^2}H(-x), where HH is the Heavyside step function. u0u_0 is given in the normal way by u0(x)=a0(x)v02(x)u_0(x)=\sqrt{a_0(x)-v_0^2(x)}.

It is then an easy exercise to compute the derivative and inverse of ψ\psi exactly:

ψx(x,t)={  1,x1,  (13t13)13,1x<0 and t<t(x),  x1/2, 1x<0 and tt(x),  1,0x   \psi_x(x, t) = \begin{cases}    1, \qquad &x \leqslant -1, \\    \left(\frac{\frac{1}{3}-t}{\frac{1}{3}}\right)^{\frac{1}{3}}, \qquad &-1\leqslant x < 0 \, \text{ and } \, t < t^\flat(x), \\    |x|^{1/2},  \qquad &-1\leqslant x < 0 \, \text{ and } \, t \geqslant t^\flat(x), \\    1, \qquad &0 \leqslant x     \end{cases}

and

ψ1(x,t)={  xt,xt1,  x(13t13)13,1x<0 and t<t(x(13t13)13),  (32(13+xt))23, 1x<0 and tt(x(13t13)13),  x,0x   .\psi_{-1}(x, t) = \begin{cases}    x - t, \qquad &x - t \leqslant -1, \\    x\left(\frac{\frac{1}{3}-t}{\frac{1}{3}}\right)^{-\frac{1}{3}}, \qquad &-1\leqslant x < 0 \, \text{ and } \, t < t^\flat\left(x\left(\frac{\frac{1}{3}-t}{\frac{1}{3}}\right)^{-\frac{1}{3}}\right), \\    -\left(\frac{3}{2}(\frac{1}{3}+x-t)\right)^{\frac{2}{3}},  \qquad &-1\leqslant x < 0 \, \text{ and } \, t \geqslant t^\flat\left(x\left(\frac{\frac{1}{3}-t}{\frac{1}{3}}\right)^{-\frac{1}{3}}\right), \\    x, \qquad &0 \leqslant x     \end{cases}.

The solution u,vu, v is exactly determined by

v(y,t)=v0(ψ1(y,t))ψx1(ψ1(y,t),t),u(y,t)=a(y,t)v2(y,t).(2.4) v(y, t) = v_0(\psi_{-1}(y, t))\psi_x^{-1}(\psi_{-1}(y, t), t), \qquad u(y, t) = \sqrt{a(y, t) - v^2(y, t)}.\tag{2.4}

Note that u0u_0 is completely determined by an arbitrary choice of v0v_0 satisfying only the condition that v02(x)a0(x)v_0^2(x) \leqslant a_0(x).

🖼️

Figure 3: The evolution in time of the characteristics η\eta and ψ\psi, and ψx\psi_x.